British Annex (BS EN1993-1-1:2014) for Steel Design now Available
The new British Annex (BS EN1993-1-1:2014) for the European Hot Rolled Steel material code is now available in RISA-3D v16 and RISAFloor v12.
Steel
Wood
Concrete
Education
RISA-3D
RISAFloor
RISAConnection
ADAPT-Builder
RISACalc
RISAFoundation
ADAPT-PT/RC
RISASection
RISA-2D
ADAPT-Felt
Link Utilities
![]()
Try the Complete RISA Suite for
10 Days FREE
Training
Webinars
Reach an Engineer
Tips & Tricks
Design Codes
Case Studies
New Features
Cloud Licensing

RISA Education
Video Library
Downloads
Licensing Support
Customer Portal
Product Documentation
System Requirements
Specifications
Online Help
Get Support
Contact
Careers
Employee Spotlight
Nemetschek
License Agreement
Privacy Policy
Open BIM
Partners

About Us
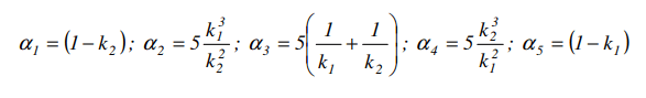
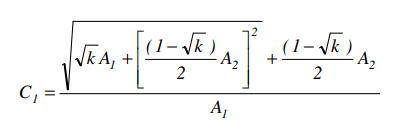
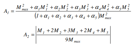
Eurocode lateral torsional buckling capacity is calculated per equations in Annex F in the ENV 1993-1-1:1992. This calculation uses variables C1, C2 and C3. Since there is no generic formula in the Eurocode to calculate the moment gradient factor, C1, RISA will use the widely accepted López, Yong and Serna method by default.
The method proposed by López, Yong and Serna in their paper “ Lateral-Torsional Buckling of Steel Beams: A General Expression for the Moment Gradient Factor” to determine the moment gradient factor takes into account both the moment diagram and support conditions. The general proposed closed form expression presented by López et al is the following:
Where k is,
A1 and A2 are given by,
where,
The contribution of the support conditions are considered in the k1 and k2 terms. When lateral bending and warping are free, k1 or k2 is equal to 1.0 for the corresponding support. When lateral bending and warping are prevented, k1 or k2 is taken as 0.5.
The values rendered using this closed form expression have been shown to match closely with numerical results in comparison to methods proposed by AISC and BS 5950-1. However, the user can always override this value within the Design Properties in the Properties Panel.
Alternatively, this override is also in the Hot Rolled tab of the Members spreadsheet.
The new British Annex (BS EN1993-1-1:2014) for the European Hot Rolled Steel material code is now available in RISA-3D v16 and RISAFloor v12.
You can now set the L-Torque length for the EN1993-1-1:2014 code in RISA-3D and RISAFloor. In previous versions of the Eurocode, RISAFloor and...
The BS EN 1992-1-1:2004+A1:2014 has been implemented in RISA-3D version 16.0 and RISAFloor version 12.0. To select this code for your design,...