What's New in RISAConnection v10
The release of RISAConnection v10 incorporates updates according to AISC 360-16 (15th Edition) including changes to HSS provisions as well as...
Steel
Wood
Concrete
Education
RISA-3D
RISAFloor
RISAConnection
ADAPT-Builder
RISACalc
RISAFoundation
ADAPT-PT/RC
RISASection
RISA-2D
ADAPT-Felt
Link Utilities
![]()
Try the Complete RISA Suite for
10 Days FREE
Training
Webinars
Reach an Engineer
Tips & Tricks
Design Codes
Case Studies
New Features
Cloud Licensing

RISA Education
Video Library
Downloads
Licensing Support
Customer Portal
Product Documentation
System Requirements
Specifications
Online Help
Get Support
Contact
Careers
Employee Spotlight
Nemetschek
License Agreement
Privacy Policy
Open BIM
Partners

About Us
The most recent release of AISC 360-16 (15th Edition) includes changes to connection design for rectangular HSS shapes with applied concentrated forces. These changes are now included in RISAConnection v10.
Prior to the release of the AISC 360-16 (15th Edition) the design of rectangular HSS shapes with concentrated forces was governed by Specification Section K2.3 as well as Table K1.2. Table K1.2 outlines various limit states that were specifically required for these types of connections.
In RISAConnection, these checks are included for the following connections that are designed with AISC 360-10 and AISC 360-05:
One-Sided Clip Angle Shear Connection
End Plate Shear Connection
Shear Tab Shear Connection
Shear Tab Through Plate Shear Connection
HSS T Connection
Vertical Diagonal Brace Clip Angle Connection
Vertical Diagonal Brace Direct Welds Connection
Chevron Clip Angle Connection
Chevron Direct Weld Connection
Knee Brace Clip Angle Connection
Knee Brace Direct Weld Connection
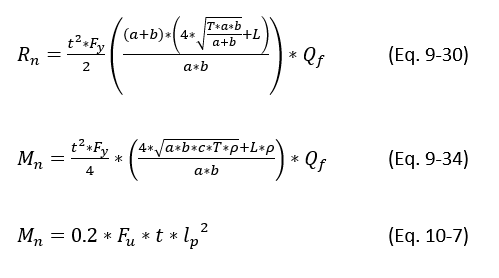
In AISC 360-16 (15th Edition), Specification Section K2.3 now states the following, “the available strength of connections to rectangular HSS with concentrated loads shall be determined based on the applicable limits states from Chapter J.” Additionally, RISAConnection utilizes various limit states found in Chapter 9 (Design of Connecting Elements) and Chapter 10 (Design of Simple Shear Connections) including HSS Column Transverse Plastification (Eq. 9-30), HSS Column Flexural Plastification (Eq. 9-34) and HSS Punching Shear (Eq. 10-7).
The release of RISAConnection v10 incorporates updates according to AISC 360-16 (15th Edition) including changes to HSS provisions as well as...
Connection design according to the new AISC 360-16 (15th Ed.) Steel Manual has now been implemented in RISAConnection. To select this code for...
RISAConnection v11 now incorporates expanded support for HSS tube shapes in Canadian (CSA S16) connection design. The newly supported connections...