Updates to HSS Connections (Chapter K) according to AISC 15th Edition…

Updates to HSS Connections (Chapter K) according to AISC 15th Edition…

The most recent release of AISC 360-16 (15th Edition) includes changes to connection design for rectangular HSS shapes with applied concentrated forces. These changes are now included in RISAConnection v10.

Prior to the release of the AISC 360-16 (15th Edition) the design of rectangular HSS shapes with concentrated forces was governed by Specification Section K2.3 as well as Table K1.2. Table K1.2 outlines various limit states that were specifically required for these types of connections.

AISC360 10 Table K1 2 300x366 2x

In RISAConnection, these checks are included for the following connections that are designed with AISC 360-10 and AISC 360-05:

  • One-Sided Clip Angle Shear Connection

  • End Plate Shear Connection

  • Shear Tab Shear Connection

  • Shear Tab Through Plate Shear Connection

  • HSS T Connection

  • Vertical Diagonal Brace Clip Angle Connection

  • Vertical Diagonal Brace Direct Welds Connection

  • Chevron Clip Angle Connection

  • Chevron Direct Weld Connection

  • Knee Brace Clip Angle Connection

  • Knee Brace Direct Weld Connection

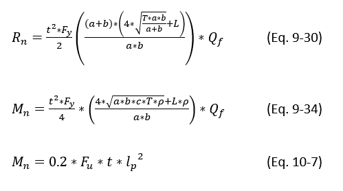
In AISC 360-16 (15th Edition), Specification Section K2.3 now states the following, “the available strength of connections to rectangular HSS with concentrated loads shall be determined based on the applicable limits states from Chapter J.” Additionally, RISAConnection utilizes various limit states found in Chapter 9 (Design of Connecting Elements) and Chapter 10 (Design of Simple Shear Connections) including HSS Column Transverse Plastification (Eq. 9-30), HSS Column Flexural Plastification (Eq. 9-34) and HSS Punching Shear (Eq. 10-7).

Equations

 

You may also be interested in

 
What's New in RISAConnection v10
FEBRUARY 14, 2019

What's New in RISAConnection v10

The release of RISAConnection v10 incorporates updates according to...

Read More
Connection Design per AISC 15th Edition Steel Manual now Available
FEBRUARY 14, 2019

Connection Design per AISC 15th Edition Steel Manual now Available

Connection design according to the new AISC 360-16 (15th Ed.) Steel...

Read More
Updated HSS Tube Connection Design According to CSA S16-14/09
JANUARY 29, 2020

Updated HSS Tube Connection Design According to CSA S16-14/09

RISAConnection v11 now incorporates expanded support for HSS tube...

Read More