August 30, 2019
Foundation Design according to Eurocode 2
RISAFoundation v12 includes mat slab, concrete beam and pedestal design according to Eurocode 2. For more information, check out the video below.
With RISA’s latest release of RISA-3D v23.0.1, we’re continuing to expand support for IBC 2024, helping engineers stay aligned with the latest building code requirements as adoption accelerates across the U.S.—including federally funded projects. This release builds on v23.0.0 ASCE 7-22 enhancements and adds key material design updates that move RISA further into full IBC 2024 compliance. New Material Design Updates Supporting IBC 2024 The upcoming release introduces several important design code updates referenced by IBC 2024, including: Steel Seismic design per AISC 341-22 Prequalified connections per AISC 358-22 Continued support for AISC 360-22 (16th Edition) steel design Ongoing updates to the hot-rolled shape database, including compatibility with both 15th and 16th Edition steel manuals These updates support modern seismic detailing requirements and ensure consistency with current steel industry standards. Masonry Masonry design per TMS 402-22, aligning with the latest strength and serviceability provisions adopted by IBC 2024. Key updates include: Revisions to shear design equations, including clarified definitions of shear area as outlined in Table 4.4.5, improving consistency and transparency in shear capacity calculations. Updated strength reduction factors for flexure and combined flexure + axial. Unlike previous editions that used a fixed ϕ-factor of 0.9, TMS 402-22 introduces tension-controlled,…
Read More
RISAFoundation v12 includes mat slab, concrete beam and pedestal design according to Eurocode 2. For more information, check out the video below.
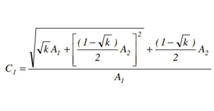
Eurocode lateral torsional buckling capacity is calculated per equations in Annex F in the ENV 1993-1-1:1992. This calculation uses variables C1, C2 and C3. Since there is no generic formula in the Eurocode to calculate the moment gradient factor, C1, RISA will use the widely accepted López, Yong...
The BS EN 1992-1-1:2004+A1:2014 has been implemented in RISA-3D version 16.0 and RISAFloor version 12.0. To select this code for your design, simply open the Model Settings and under the Codes tab select BS EN 1992-1-1:2004+A1:2014 for concrete:
The new British Annex (BS EN1993-1-1:2014) for the European Hot Rolled Steel material code is now available in RISA-3D v16 and RISAFloor v12.
You can now set the L-Torque length for the EN1993-1-1:2014 code in RISA-3D and RISAFloor. In previous versions of the Eurocode, RISAFloor and RISA-3D used the full member length as the torque length when calculating torsional buckling. Now, per EN1993-1-1:2014 Section 13.3.2, we’ve added the...
Our monthly "Structural Moment" newsletter is the best way to keep up with RISA’s product updates, new releases, new features, training events, webinars and more...